• 索 引 号:370403/2021-00206
  • 主题分类:棚户区改造
  • 发布机构:薛城区住建局
  • 成文时间:2021年04月14日
  • 文  号:
  • 发文时间:2021年04月14日
  • 标  题:鲁建住字【2016】1号 关于公布2016年棚户区改造任务分解落实项目第二批的通知
  • 效力状态:有效

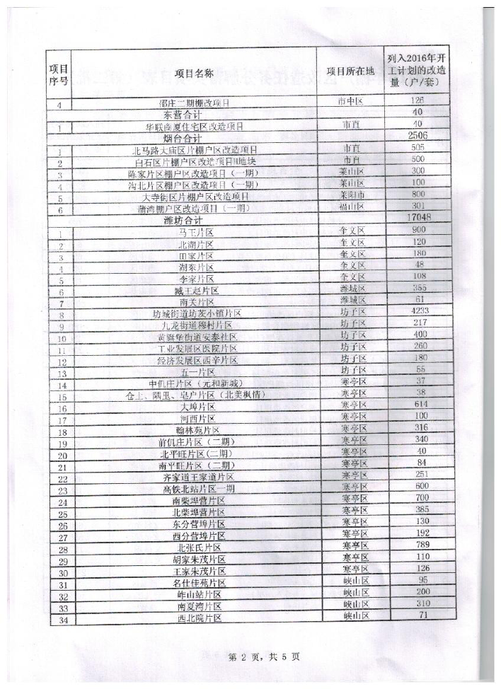
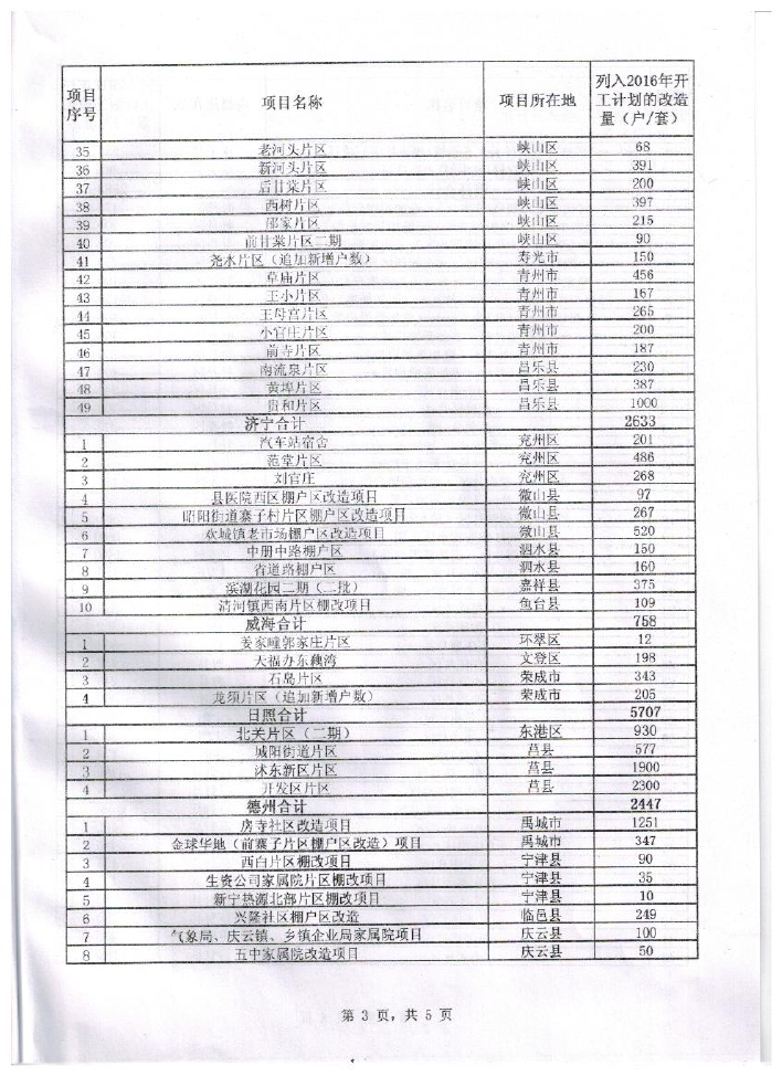
鲁建住字【2016】1号 关于公布2016年棚户区改造任务分解落实项目第二批的通知